Предлагаемая статья, как следует из названия, посвящена изучению свойств равнобедренных треугольников, а также установлению взаимосвязей между данными треугольниками. Необходимость исследований назрела, в первую очередь, из-за частого применения в архитектуре равнобедренных треугольников как геометрических моделей отдельных фрагментов зданий и сооружений, а во-вторых, пополнения базы знаний в области элементарной геометрии.
Где же могут найти применение данные теоретические исследования? Прежде всего в педагогике как таковой, поскольку они существенно расширят кругозор школьников и студентов, изучающих элементарную геометрию, а также тригонометрию, поскольку работа находится на стыке двух разделов математики - элементарной геометрии и тригонометрии, причем их важность абсолютно равнозначна.
Существенными плюсами данных исследований являются следующие факты:
Последний факт должен вызвать особый интерес читательской аудитории к исследованиям, поскольку в отличие от всей геометрии в целом, представленной в популярных учебниках в большинстве случаев лишь в виде "голой" теории, мы имеем сочетание теоретических и практических аспектов.
Для простоты изложения материала внесем ряд определений:
Теорема 1: Об отношении основной высоты равнобедренного треугольника к радиусу вписанной в него окружности
Отношение основной высоты равнобедренного треугольника к радиусу вписанной в него окружности равно алгебраической сумме единицы и величины, обратной по значению косинусу равных углов при основании.
Исходные данные:
Равнобедренный ∆ АВС (рис. 1); ВD = h - основная высота, опущенная из вершины В на основание АС = 2 * а; АВ = ВС = b - боковые стороны треугольника; DО = КО = LО = r - радиус вписанной в ∆ АВС окружности, Ð ВАС = Ð ВСА = a .
Доказать:
(1)
Доказательство:
Формулы для вычисления площади ∆АВС:
S ∆АВС
.
S ∆АВС
.

Рис. 1. Равнобедренный ∆ АВС с вписанной в него окружностью.
Получим:
|
|
(1) |
Следствия из теоремы 1:
1.1.Отношение половины основания равнобедренного треугольника к радиусу вписанной в него окружности равно котангенсу половинного угла при основании:
Так как
,
а

то
. (2)
Однако из курса геометрии известно, что центр вписанной в любой треугольник окружности лежит на пересечении биссектрис его углов.
1.2. Отношение боковой стороны равнобедренного треугольника к радиусу вписанной в него окружности равно отношению котангенса половинного угла при основании к косинусу полного угла при основании:
|
|
(3) |
1.3. В равнобедренном треугольнике отношение разницы между основной высотой и радиусом вписанной окружности к величине последнего равно отношению боковой стороны к половине основания или величине, обратной значению косинуса угла при основании:
. (4)
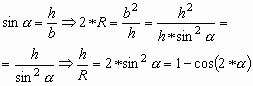
Теорема 2: Об отношении основной высоты равнобедренного треугольника к радиусу описанной вокруг него окружности
Отношение основной высоты равнобедренного треугольника к радиусу описанной вокруг него окружности равно удвоенному произведению квадрата синуса угла при основании или разнице единицы и косинуса двойного угла при основании:

Рис. 2. Равнобедренный ∆ АВС с описанной вокруг него окружностью.
Исходные данные:
Равнобедренный ∆АВС (рис. 2); ВD = h - основная высота, опущенная из вершины В на основание АС = 2 * а; АВ = ВС = b - боковые стороны треугольника; АQ = BQ = CQ = R - радиус описанной вокруг ∆АВС окружности, Ð ВАС = Ð ВСА = a .
Доказать:
(5)
Доказательство:
Формулы для вычисления площади ∆АВС:
S ∆АВС =![]()
S ∆АВС = ![]()
Получим: ![]()
|
|
(5) |
Следствия из теоремы 2:
2.1. Отношение половины стороны основания равнобедренного треугольника к радиусу описанной вокруг него окружности равно синусу двойного угла при основании:
Так как
,
то

(6)
Поскольку
,
то
![]()
2.2. Отношение боковой стороны к радиусу описанной окружности равно двум синусам углам при основании:
|
|
(7) |
2.3 В равнобедренном треугольнике отношение разницы между радиусом описанной окружности и основной высотой к величине первого равно косинусу двойного угла при основании:
|
|
(8) |
Следствие из теорем 1 и 2:
В равнобедренном треугольнике отношение радиуса вписанной к радиусу описанной окружности равно произведению тангенса половинного угла при основании и синуса двойного угла при основании:
(9)
В табл. 1 представлены взаимосвязи между линейными элементами равнобедренного треугольника (основная высота, половина основания, боковая сторона, радиусы вписанных и описанных окружностей), выражаемые через тригонометрические выражения равных углов при основании.
Таблица 1
Соотношения в равнобедренном треугольнике
|
|
Y |
|||||
|
a |
b |
h |
R |
R |
||
|
XX |
aa |
1 |
|
|
|
|
|
bb |
|
1 |
|
|
|
|
|
hh |
|
|
1 |
|
|
|
|
RR |
|
|
|
1 |
|
|
|
rr |
|
|
|
|
1 |
|
В предлагаемых ниже двух теоремах рассмотрены взаимосвязи между вписанными и описанными окружностями двух равнобедренных треугольников, имеющих один общий элемент. В первой теореме данным субъектом является основная высота, во второй - сторона основания. Что же касается совпадения боковых сторон равнобедренных треугольников, то здесь получим равенство треугольников по двум сторонам и углу между ними.
Теорема 3: О равных углах равнобедренных треугольников
Если два равнобедренных треугольника построены на одной основной высоте и равные углы при основании одного равны углу между боковыми сторонами второго, то их центры вписанной и описанной окружностей соответственно совпадут.
Исходные данные:
Равнобедренные ∆АВС и ∆ЕBF c общей основной высотой ВD = h. DO 1 = r и ВО 2 = R - радиусы вписанной и описанной окружностей равнобедренных ∆АВС и ∆ЕBF соответственно.
Ð ВАС = Ð ВСА = Ð EBF = a ,
Ð BEF = Ð BFE = b (рис. 3)

Рис. 3. Геометрическая интерпретация теоремы 3
Доказать:
h = R + r (10)
Доказательство:
Для равнобедренного ∆АВС:
![]()
Для равнобедренного ∆ЕBF:
![]()
По условию теоремы
Ð ВАС = Ð ВСА = Ð EBF =
= a , Ð BEF = Ð BFE = b .
А так как
Ð BEF = Ð BFE =
,
получим:

![]()
Если
(10),
то ![]()
Действительно,
,
что и требовалось доказать.
Следствия из теоремы 3:
3.1. Если два равнобедренных треугольника построены на одной основной высоте и угол между боковыми сторонами одного равен углам при основании второго, то отношение соответствующих оснований равно разнице величины, обратной по значению косинусам равных углов при основании второго, и единице:
Так как
![]()
и
,
то
![]()
|
|
(11) |
3.2. Если два равнобедренных треугольника построены на одной основной высоте и равные углы при основании одного равны углу между боковыми сторонами второго, то отношение соответствующих боковых сторон равно половине величины, обратной по значению синусам равных углов при основании второго:
Поскольку
и
,
то
.
|
|
(12) |
Теорема 4: О половинных углах равнобедренных треугольников
Если два равнобедренных треугольника имеют общее основание и вершина, являющаяся пересечением боковых сторон первого, совпадает с центром вписанной во второй треугольник окружности, то центр описанной вокруг первого треугольника окружности лежит на пересечении перпендикуляров к боковым сторонам второго.
Исходные данные:
Равнобедренные ∆ АВС и ∆ АОС с общим основанием АС = 2 *
а, DO = r = H -
радиус вписанной окружности и высота равнобедренных ∆ АВС и ∆ AOC соответственно. Ð
ВАС = Ð
ВСА = a
, Ð
OAC = Ð
OCA =
(рис. 4).
Доказать:
(13)

Рис. 4. Геометрическая интерпретация теоремы 4
Доказательство:
Исходя из рис. 4, получим следующую цепочку соотношений:

Тогда
|
|
(13) |
При этом согласно определению равнобедренные ∆ АВС и ∆ АСS являются полуподобными, поскольку
![]()
и наоборот, а равнобедренные ∆АВС и ∆АОС являются половинноподобными, поскольку удовлетворяют определению:
Ð
ВАС = Ð
ВСА = a
, Ð
OAC = Ð
OCA = ![]()